隨著航空航天技術的不斷提高,對生產制造航空器材料的要求越來越高,鈦合金在航空航天中具有廣闊的使用前景[1]。國內關于α+β兩相鈦合金的研究較多,而關于TA15鈦合金的研究相對較少,TA15鈦合金是一種應用十分廣泛的近α鈦合金,它的強度、熱穩性和抗蠕變性均很好,還是重要的損傷容限型鈦合金[2]。合金成分會影響TA15鈦合金的力學性能,研究發現,合金中的主合金元素對合金性能的影響較大,當初生α相的含量減少、次生α相片層的寬度較細時,合金的強度提高,塑性下降[3-4]。在熱處理過程中引入H元素,TA15鈦合金中α相和β相的相對含量也會隨H含量的變化發生變化[5]。隨著退火溫度的不斷升高,TA15鈦合金晶粒的等軸化程度增大,初生α相的含量逐漸減少[6]。通過退火、固溶+時效和雙重熱處理等熱處理工藝可以優化TA15鈦合金的組織,明顯提高合金的力學性能[7-9]。合適的形變工藝,可以細化TA15鈦合金的晶粒,提高其綜合性能[10-12]。對熱處理加工后的TA15鈦合金進行退火,可以使TA15鈦合金的力學性能獲得最佳匹配[13]。熱處理工藝不同,TA15鈦合金中初生α相的含量和形狀均會隨之變化,進而影響合金的塑性[14]。因此,TA15鈦合金需要經過一系列復雜的熱處理,才能獲得組織均勻、力學性能優異的半成品或零件,所以對TA15鈦合金進行系統的熱處理工藝研究以及優化是非常必要的。本文通過對鍛壓TA15鈦合金試樣進行700~820℃的退火處理,研究初生α相和次生α相間的轉變規律,根據熱處理后鍛壓TA15鈦合金的微觀組織和力學性能的變化情況,分析得到具有最佳性能匹配的熱處理工藝。
1、試驗材料與方法
試驗所選取的材料為鍛壓TA15鈦合金棒材,它的名義成分為Ti-6Al-2Zr-1Mo-1V。該合金的實際化學成分如表1所示。

將鍛壓TA15鈦合金試樣棒材表面全部涂覆防氧化涂料后,先在箱式電阻爐中進行退火處理,再進行試樣棒材切割、加工出標準試樣。熱處理制度為(700~820)℃×2h,空冷(AC)(每隔30℃設為一個熱處理制度)。退火處理工藝如圖1所示。

不同溫度退火處理后的鍛壓TA15鈦合金試樣通過UTM5350電子萬能試驗機進行高溫和室溫的拉伸性能測試,設備載荷范圍為0~300kN,載荷精度為0.5%,加載速率為0.5 mm·min-1。拉伸試樣根據ASTME8/E8M—2011[15]標準制備。按照GB/T229—2020[16]要求,在JB-300型擺錘式沖擊試驗機上進行沖擊試驗。采用U形缺口試樣,尺寸為10mm×10mm×55mm。分別測出不同熱處理條件下,室溫時的抗拉強度Rm、屈服強度ReL、斷面收縮率Z、伸長率A、沖擊功Aku。鍛壓TA15鈦合金高溫(500℃)拉伸試樣與室溫條件下的試樣相同,當設定溫度穩定后保溫20min開始測試,分別測出鍛壓TA15鈦合金高溫時的抗拉強度、斷面收縮率與伸長率。每種性能測試3組數據,求平均值,以減少試驗所帶來的誤差。
利用OLYMPUS-GX51型倒置式光學顯微鏡對熱處理后的鍛壓TA15鈦合金金相組織進行觀察,顯微照片利用PhotoShop進行處理,將初生α相進行涂黑處理,處理后可觀察到相的組成情況。通過顯微鏡自帶的QLYCIAm3軟件對處理后的金相組織進行分析,統計顯微組織中各主要組成相的相對體積分數。QLYCIAm3金相分析系統可以利用數學、光 學等技術理論,對金相照片進行圖像分析、面積形態分析和粒子計數分析等,被廣泛應用于材料檢測等科學和工程研究,為材料生產過程提供質量控制。
2、結果與討論
2.1顯微組織分析
圖2為不同熱處理制度下鍛壓TA15鈦合金的金相組織,初生α相為等軸狀,次生α相為片層狀,熱處理后等軸狀初生α相分布均勻。圖2a為700℃退火后的顯微組織,相組成主要為初生α相、部分次生α相、還有少量基體β相,初生α相所占比例最大;圖2b和圖2c分別為730和760℃退火后的顯微組織,相組成包括初生α相和次生α相,初生α相占絕大部分,但在700℃退火后有所降低,說明初生α相隨著溫度的升高逐漸減少,次生α相隨著溫度的升高逐漸增加;圖2d和圖2e分別為790和820℃退火后的顯微組織,相組成包括初生α相和次生α相,次生α相隨著溫度的升高逐漸增多,初生α相的含量隨著退火溫度的升高而降低,基體β相的含量變化不大。

通過觀察金相組織,發現不同熱處理溫度的試樣中,初生α相、次生α相以及β相之間黏連在一起,不便于統計組織中各相的相對含量。利用PhotoShop軟件對顯微組織中的初生α相進行涂黑處理,其余為次生α相以及基體β相。再通過QLYCIAm3金相分析系統處理涂黑的組織,對各相進行體積分數統計,取3組數據求平均值,得到各相的相對體積分數。處理后的鍛壓TA15鈦合金金相組織如圖3所示,圖3中初生α相標注為深色,其余為次生α相以及基體β相。

鍛壓TA15鈦合金的塑性由次生α相與初生α相決定。提高初生α相的含量,合金的塑性變大,提高次生α相的含量,合金的塑性降低。圖4為不同熱處理制度下鍛壓TA15鈦合金中初生α相、次生α相的相對體積分數。退火溫度為700℃時,初生α相的相對體積分數為70.35%,次生α相的相對體積分數為3.84%。退火溫度為820℃時,初生α相的相對體積分數為46.94%,次生α相的相對體積分數為18.26%。隨著退火溫度的逐漸升高,初生α相的含量逐漸降低,次生α相的含量逐漸增加,基體相的含量基本不變。

2.2退火處理對鍛壓TA15鈦合金力學性能的影響
2.2.1室溫力學性能測試
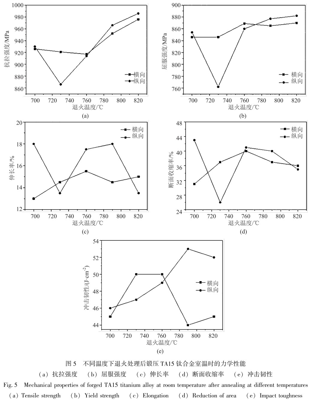
鍛壓TA15鈦合金退火處理后,室溫條件下的力學性能如圖5所示。圖5a為鍛壓TA15鈦合金抗拉強度的變化曲線,隨著退火溫度的升高,抗拉強度逐漸增大,退火溫度為820 ℃時,不同取樣方向下的試樣的抗拉強度均達到最大值,其中縱向抗拉強度達到986MPa;圖5b為鍛壓TA15鈦合金屈服強度的變化曲線,總體來說,隨著退火溫度的升高,與抗拉強度的變化規律相似,在820℃時縱向屈服強度達到最大值882MPa;圖5c、圖5d分別為鍛壓TA15鈦合金伸長率和斷面收縮率的變化曲線,隨退火溫度的升高,相同取樣方向的力學性能的變化趨勢基本相同,820℃退火的樣品,其縱向伸長率為13.5%;圖5e為鍛壓TA15鈦合金沖擊韌性的變化曲線,不同的取樣方向,性能的變化規律也不同,隨著退火溫度的升高,橫向取樣時,沖擊韌性呈“幾”字形變化;縱向取樣時,沖擊韌性在800℃時達到最大值后略有降低。

2.2.2高溫力學性能測試
鍛壓TA15鈦合金退火處理后,高溫(500℃)力學性能如圖6所示。圖6a為鍛壓TA15鈦合金抗拉強度的變化規律,橫向抗拉強度在820℃時達到最大值;圖6b為鍛壓TA15鈦合金伸長率的變化規律,隨著退火溫度的升高,橫向伸長率在760℃時達到最大值,縱向伸長率在820℃時達到最大值;圖6c為鍛壓TA15鈦合金斷面收縮率的變化規律,橫向斷面收縮率在760℃時達到最大值58%,縱向斷面收縮率在820℃時達到最大值63%。

2.3退火處理后鍛壓TA15鈦合金的顯微組織與力學性能的關系
由以上結果可以看出,鍛壓TA15鈦合金的顯微組織對熱處理工藝參數十分敏感,采用不同的退火溫度可以得到不同的顯微組織,而合金的力學性能又取決于合金組織中各組成相的形態、相對體積分數和大小尺寸等因素。鍛壓TA15鈦合金的顯微組織在700~820℃的退火溫度范圍內,金相組織主要包括初生α相、次生α相以及基體β相。隨著退火溫度的逐漸升高,初生α相的含量減少,次生α相的含量增多,在820℃時初生α相的含量最少,次生α相的含量最多,基體β相的含量基本沒有變化。退火后鍛壓TA15鈦合金的力學性能發生明顯變化,隨著退火溫度的升高,鍛壓TA15鈦合金的抗拉強度和屈服強度的變化趨勢基本一致,在820℃時達到最大值;伸長率、斷面收縮率、沖擊韌性隨著退火溫度的升高并未單調的下降,在不同的退火溫度下也會出現最大值。這是因為:在雙態組織中,隨著初生等軸α相的減少,β基體、次生片層α相的相界面增多,會使鈦合金的強度提高,伸長率降低,而α相和原始β相晶粒尺寸的減小有利于提高鈦合金的塑性。鍛壓TA15鈦合金在相變點溫度以下進行熱處理,820℃時的組織和性能匹配最佳。

3、結論
(1)鍛壓TA15鈦合金在700~820℃退火處理后,顯微組織中主要由初生等軸α相、基體β相以及次生片層狀α相組成。
(2)隨著退火溫度的升高,初生α相的含量逐漸降低,相對體積分數由70.35%降至46.42%,次生α相的相對體積分數由3.84%升高至18.26%。
(3)鍛壓TA15鈦合金的力學性能與取樣方向有關,室溫和高溫(500℃)條件下的力學性能受不同熱處理制度的影響較大。且隨著退火溫度的升高,鍛壓TA15鈦合金強度先降低后升高,塑性先增高后降低。
(4)對比不同熱處理溫度下樣品的室溫和高溫(500℃)條件下的拉伸性能,在820℃退火的樣品,其抗拉強度最高為986MPa,伸長率為13.5%,強度和塑性匹配較好。
參考文獻:
[1] 陳國琳,吳鵬煒, 王自東.鈦合金的發展現狀及應用前景[J].艦船科學技術, 2009, 31 (12): 110-113.
Chen G L, Wu P W, Wang Z D.The development prospect and current status of titanium alloys [J].ShipScience and Technolo-gy, 2009, 31 (12): 110-113.
[2] Qian G L, Song X Y, Ye W J, et al.Effects of ultrasonic impact treatment on the residual stress and microstructure of TA15welded joint [J].Materials Science Forum, 2017, 898 (13): 1056-1062.
[3] 隋楠,曹京霞, 黃旭, 等.合 金成分對 TA15鈦合金 組織及力學性能的影響 [ J] .航空材料學報, 2019, 39 ( 1) :48-54.
Sui N, Cao J X, Huang X, et al.Effect of composition on micro-structure and mechanical properties of TA15titanium alloy [J].Journal of Aeronautical Materials, 2019, 39 (1): 48-54.
[4] 史瑩瑩,劉釗, 陳峰, 等.Φ1040mm 規格 TA15鈦合金鑄錠生產工藝研究 [J].世界有色金屬, 2018, 16 (23): 9-12.
Shi Y Y, Liu Z, Chen F, et al.Preparation technology research of Φ1040 mm TA15titanium alloy ingot [ J].World NonferrousMetals, 2018, 16 (23): 9-12.
[5] 梁培新,朱衛東, 楊剛, 等.滲氫工藝對TA15鈦合金氫含量和顯微組織的影響 [ J].鍛壓技術,2020,45 ( 8): 190 -194.
Liang P X, Zhu W D, Yang G, et al.Influence of hydrogen per-meation process on hydrogen content and microstructure of TA15ti-taniumalloy [ J].Forging &StampingTechnology, 2020, 45(8): 190-194.
[6] 侯艷榮,賴運金, 杜予晅, 等.熱處理對 TA15鈦合金棒材沖擊性能的影響 [J].熱加工工藝, 2011, 40 (2): 182-183.
Hou Y R, Lai Y J, Du Y X, et al.Effect of heat treatment process on impact property of TA15alloy [J].Hot Working Tech-nology, 2011, 40 (2): 182-183.
[7] 盧凱凱,周立鵬, 段啟輝, 等.熱處理工藝對 TA15鈦合金棒材組織和性能的影響 [ J].鈦 工業進展, 2018, 35 ( 4):35-39.
Lu K K, Zhou L P, Duan Q H, et al.Effect of heat treatment procss on microstructure and mechanical properties of TA15titani-umalloy bars [J].Titanium Industry Progress, 2018, 35 (4):35-39.
[8] 盧凱凱,周立鵬,李敏娜, 等.強韌化熱處理對TA15鈦合金組織和性能的影響 [ J].材料熱處理學報, 2020, 41 (1):44-49.
Lu K K, Zhou L P, Li M N, et al.Effect of strengthening and toughening heat treatment on microstructure and mechanical proper-ties of TA15titanium alloy [ J].Transactions of Materials and Heat Treatment, 2020, 41 (1): 44-49.
[9] 劉航,李偉, 張鏡斌.TA15鈦合金雙重熱處理三態組織中的片層α尺寸研究 [J].熱加工工藝, 2021, 50 (14): 142-145, 149.
Liu H, Li W, Zhang J B.Study on size of lamellarαin tri-modal microstructure of TA15Ti-alloy during dual heat treatment [ J].Hot Working Technology, 2021, 50 (14): 142-145, 149.
[10]檀雯,都海剛, 楊軍, 等.TA15鈦合金厚板熱軋變形規律研究 [J].有色金屬材料與工程, 2020, 41 (4): 17-23.
Tan W, Du H G, Yang J, et al.Study on deformation mecha-nisms of TA15titanium alloy plate during hot rolling [J].Nonfer-rous Metal Materials and Engineering, 2020, 41 (4): 17-23.
[11]紀小虎,李萍, 時迎賓, 等.TA15鈦合金等溫多向鍛造晶粒細化機理與力學性能 [ J].中國有色金屬學報, 2019, 29(11): 2515-2523.
Ji X H,Li P, ShiY B, et al.Grain refinement mechanism and mechanical properties of TA15alloy during multi-directional iso-thermal forging [ J].The Chinese Journal of Nonferrous Metals,2019, 29 (11): 2515-2523.
[12]李建偉,劉瀏, 鄒宗樹.不同等溫鍛 TA15鈦合金試驗件的組織與力學性能研究 [J].熱加工工藝, 2019, 48 (1): 151-157.
Li J W, Liu L,Zou Z S. Study of microstructure and mechanical properties of TA15 titanium alloy test parts with different isothermal forging processes [ J ]. Hot Working Technology, 2019, 48 (1): 151-157.
[13] 謝英杰, 付文杰, 王蕊寧, 等. 熱處理對 TA15鈦合金中厚板 材組織及力學性能的影響 [J]. 鈦工業進展, 2013, 30 (6): 26-29.
Xie Y J, Fu W J, Wang R N, et al. Effect of heat treatment on microstructure and mechanical properties of TA15 plats [J]. Tita- nium Industry Progress, 2013, 30 (6): 26-29.
[14] 尤中源, 劉文言, 陳榮, 等. α 相含量對新型亞穩β鈦合金動 態力學性能的影響 [ J]. 稀有金屬, 2021, 45 ( 7): 891 - 896.
You Z Y, Liu W Y, Chen R, et al. Dynamic mechanical proper- ties of new type of metastable titanium alloy with different α phase content [J]. Chinese Journal of Rare Metals, 2021, 45 ( 7): 891-896.
[15] ASTM E8/ E8M—2011, 金屬材料拉伸試驗方法 [S]. ASTM E8/ E8M—2011, Standard test methods for tension testing of metallic materials [S].
[16] GB / T 229—2020, 金屬材料夏比擺錘沖擊試驗方法 [S]. GB / T 229—2020, Metallic materials Charpy pendulum impact test method [S].
相關鏈接
- 2023-11-11 固溶溫度對TA15鈦合金棒材組織與力學性能的影響
- 2023-09-11 TA15鈦合金棒材不同部位的組織與拉伸性能的差異
- 2023-09-03 熱處理工藝對TA15鈦合金棒材組織和性能的影響
- 2023-09-03 工業生產TA15鈦合金的組織與拉伸性能分析
- 2023-07-09 飛機用TA15鈦合金棒高溫與室溫拉伸性能的研究
- 2023-04-24 TA15鈦合金棒材常規熱處理與冷卻速率
- 2023-04-15 定制航空船舶制造用鈦合金棒 鈦板 鈦鍛件 材質保證 零切批量
- 2023-04-11 航空用TA15/TC19/TC17鈦合金棒國軍標規范GJB2218A-2008
- 2023-02-27 熱銷深海艦船用TC11鈦合金棒 鈦板 鈦鍛件 材質保證 零切批量
- 2023-02-22 TA15鈦合金棒的制備工藝及性能分析

